그리디 알고리즘
1. 그리디 알고리즘(탐욕법)은 현재 상황에서 지금 당장 좋은 것만 고르는 방법을 의미
2. 일반적인 그리디 알고리즘은 문제를 풀기 위한 최소한의 아이디어를 떠올릴 수 있는 능력을 요구
3. 그리디 해법은 그 정당성 분석이 중요
-> 단순히 가장 좋아보이는 것을 반복적으로 선택해도 최적의 해를 구할 수 있는지 검토
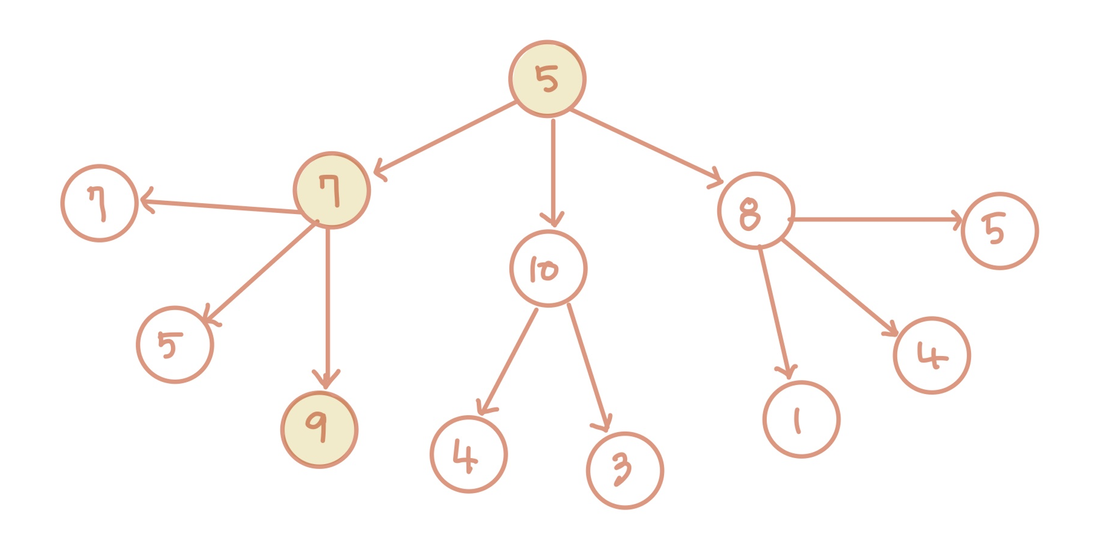
[ 문제 상황] 루트 노드부터 시작하여 거쳐가는 노드의 합을 최대로 만들고 싶습니다.
Q. 최적의 해는?

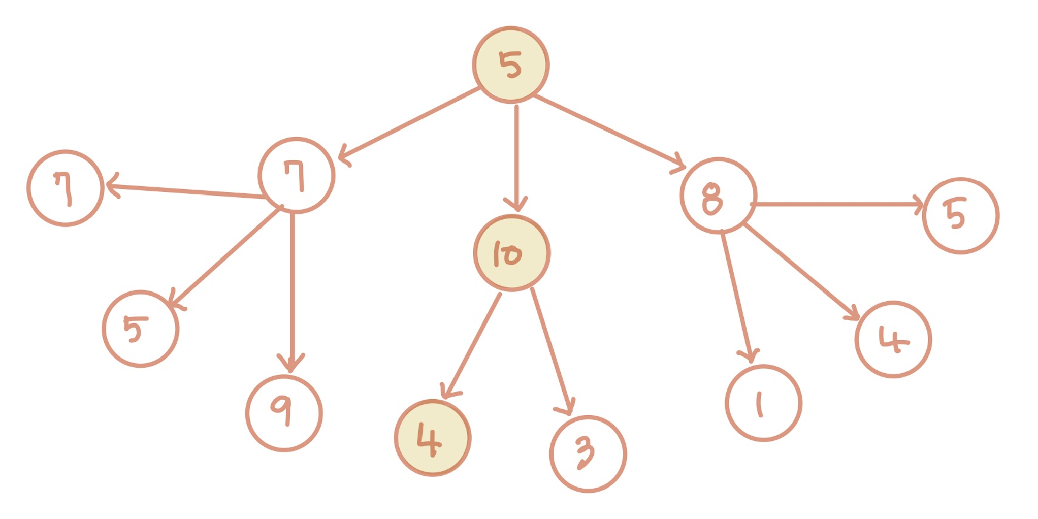
[ 문제 상황] 루트 노드부터 시작하여 거쳐가는 노드의 합을 최대로 만들고 싶습니다.
Q. 단순히 매 상황에서 가장 큰 값만 고른다면?

- 최적의 해인 21보다는 작다.
- 그리디 알고리즘은 이처럼 단순히 매 상황에서 가장 큰 값만 고르는 방식
4. 일반적인 상황에서 그리디 알고리즘은 최적의 해를 보장할 수 없을 때가 많다.
5. 하지만 코딩테스트에서의 대부분의 그리디 문제는 탐욕법으로 얻은 해가, 최적의 해가 되는 상황에서 이를 추론할 수 있어야 풀리도록 출제
문제
<거스름돈>
당신은 음식점의 계산을 도와주는 점원입니다. 카운터에는 거스름돈으로 사용할 500원, 100원, 50원, 10원짜리 동전이 무한히 존재한다고 가정합시다. 손님에게 거슬러 주어야 할 돈이 N원일 때 거슬러 주어야 할 돈의 최소 개수를 구하세요. 단, 거슬러 줘야 할 돈 N은 항상 10의 배수입니다.
[문제 해결 아이디어]
1. 최적의 해를 빠르게 구하기 위해서는 가장 큰 화폐 단위부터 돈을 거슬러 주면 된다.
2. N원을 거슬러줘야 할 때, 가장 먼저 500원으로 거슬러 줄 수 있을만큼 거슬러 준다.
-> 이후에 100원, 50원, 10원짜리 동전을 차례대로 거슬러 줄 수 있을만큼 거슬러 준다.
[정당성 분석]
1. 가장 큰 화폐 단위부터 돈을 거슬러 주는 것이 최적의 해를 보장하는 이유는?
-> 가지고 있는 동전 중에서 큰 단위가 항상 작은 단위의 배수이므로 작은 단위의 동전들을 종합해 다른 해가 나올 수 없기 때문
2. 만약에 800원을 거슬러 주어야 하는데 화폐 단위가 500원, 400원, 100원이라면?
3. 그리디 알고리즘 문제에서는 이처럼 문제 풀이를 위한 최소한의 아이디어를 떠올리고 이것이 정당한지 검토할 수 있어야 한다.
n = 1260
count = 0
# 큰 단위의 화폐부터 차례대로 확인하기
array = [500, 100, 50, 10[
for coin in array :
count += n//coin # 해당 화폐로 거슬러 줄 수 있는 동전의 개수 세기
n %= count
print(count)
[시간 복잡도 분석]
1. 화폐의 종류가 K라고 할 때, 소스코드의 시간 복잡도는 O(K)
2. 이 알고리즘의 시간 복잡도는 거슬러줘야 하는 금액과는 무관하며, 동전의 총 종류에만 영향을 받는다.
'Algorithm' 카테고리의 다른 글
| BFS(너비 우선 탐색) (0) | 2023.04.30 |
|---|---|
| DFS(깊이 우선 탐색) (0) | 2023.04.27 |
| 재귀 (0) | 2023.04.26 |
| 스택/큐 (0) | 2023.04.26 |
| 구현 (1) | 2023.04.25 |